https://doi.org/10.53853/encr.8.3.625

Recibido: 12 de mayo de 2021; Aceptado: 14 de octubre de 2021

Precisión clínica y numérica de los dispositivos de medición de glucosa capilar disponibles en el plan básico de salud para Colombia


Clinical and numerical precision of capillary glucose measurement devices available in the basic health plan for Colombia

A. Gómez Medina, 13* R. Jojoa, 1 D. Henao, 13 D. Parra, 1 Ó. Muñoz, 23 C. Rubio, 1 M. Piñeros, 3

Unidad de Endocrinología, Hospital Universitario San Ignacio, Bogotá, Colombia Universidad de Antioquia Unidad de Endocrinología Hospital Universitario San Ignacio Bogotá Colombia
Departamento de Medicina Interna, Hospital Universitario San Ignacio, Bogotá, Colombia Departamento de Medicina Interna Hospital Universitario San Ignacio Bogotá Colombia
Facultad de Medicina, Pontificia Universidad Javeriana, Bogotá, Colombia Pontificia Universidad Javeriana Facultad de Medicina Pontificia Universidad Javeriana Bogotá Colombia

Correspondencia:agomez@husi.org.co

Resumen

Introducción.

La glucometría tiene un rol crítico en el tratamiento del paciente tratado con insulina. Factores técnicos y medioambientales afectan significativamente la precisión de los glucómetros. El objetivo es establecer la precisión clínica y numérica de los glucómetros usados en Colombia, comparado con glucemia central.

Métodos.

Estudio de pruebas diagnósticas. Se evaluaron glucómetros del plan básico de salud (GluNeo,GlucoQuick,Optium Neo,Select Plus y Gluco Quick Diamond Voice). Se incluyeron adultos tratados con bomba de infusión de insulina integrada a sistema de monitoreo continuo. Se clasificaron las muestras en ≥100mg dL y <100 mg/dL. Para glucosa <100 mg/dL se administró un bolo de insulina utilizando la función de bolus wizard. Se evalúo la precisión numérica utilizando la media absoluta de la diferencia relativa (MARD) y la precisión clínica, según la proporción las mediciones en las zonas A+B de la gradilla de Clarke y la gradilla de Parkes (Consensus). Dada la relevancia en la práctica clínica de conocer la precisión de los dispositivos en valores de hipoglucemia (≤70 mg/dL), se realizó un análisis exploratorio de las mediciones obtenidas en este rango.

Resultados.

Se analizaron 520 mediciones. Todos los dispositivos cumplieron requisitos de precisión para glucosa ≥100 mg/dL. Optium Neo y Gluco Quick Diamond Voice alcanzaron estándares de cumplimiento al combinar todos los niveles de medición de 12.1 % y 13.9 %, respectivamente. La precisión clínica para estos dos dispositivos fue de 98% y >95 % según gradilla Parkes (Consensus) y Clarke, respectivamente. Se evidenció mayor variabilidad de los resultados en el rango ≤70 mg/dL.

Conclusiones.

La precisión numérica fue adecuada para los dispositivos evaluados para valores de glucosa capilar ≥100 mg/dL y disminuye con valores <100mg/dL. Gluco Quick Diamond Voice y Optium Neo tuvieron adecuada precisión clínica y numérica global.

Palabras clave:

glucómetro, glucosa capilar, glucosa sérica, precisión clínica, precisión numérica, diabetes mellitus.

Abstract

Gout is an inflammatory arthritis caused by excessive accumulation of monosodium urate crystals at the tissues, with joint involvement predominantly. Its clinical manifestations are varied, usually conditioning a chronic course of the disease. The diagnosis is made through the set of clinical, biochemical and imaging findings. The treatment is based on non-pharmacological and pharmacological measures within which xanthine oxidase inhibitors and uricosurics are described. A case of a male patient with gout of difficult management and refractory hyperuricemia is described.

Keywords:

Hyperuricemia, gout, Allopurinol, Febuxostat..

Introducción

La automonitoreo de la glucosa mediante glucometría capilar es un componente esencial del control y el seguimiento de la diabetes en pacientes manejados con esquemas de insulina para alcanzar adecuado control metabólico con el menor riesgo de hipoglucemia (1). Múltiples estudios realizados en diversos centros en el mundo han evaluado la precisión de los glucómetros en diferentes situaciones de estabilidad o inestabilidad glucémica. Estos estudios comparan los resultados de las glucometrías capilares, con algún estándar de referencia, generalmente glucemia plasmática, evaluando si los resultados de las pruebas son similares y si cumplen con las normas de calidad de la Organización Internacional para la Estandarización (ISO, por sus siglas en inglés International Organization for Standardization) vigentes al momento del estudio (2,8). Los resultados han demostrado que la exactitud de los dispositivos cambia de forma significativa, y que un alto porcentaje de ellos no cumplen con los estándares exigidos (3,7).

Actualmente, en Colombia no está disponible un dispositivo para medición de glucometría capilar que haya sido ampliamente recomendado en los estudios clínicos de pacientes con insulinoterapia, y solo algunos de los glucómetros utilizados en el medio han sido comparados contra glucemia central (patrón de oro). Si dichos dispositivos resultan imprecisos, las intervenciones terapéuticas que se basan en sus resultados podrían ser inadecuadas. El objetivo del presente estudio es evaluar la precisión clínica y numérica de cinco glucómetros ampliamente usados en Colombia, comparando sus resultados con la glicemia plasmática, describiendo la media absoluta de la diferencia relativa (MARD, por sus siglas en inglés de Mean Absolute Relative Difference) (9), la precisión clínica por medio de la gradilla de error de Clarke (10) y Parkes (Consensus) (11), y el cumplimiento de los estándares de precisión numérica norma ISO vigentes (12), en rangos de hipoglicemia como en normo e hiperglucemia.

Métodos

Tipo de estudio y población

Se realizó el estudio de pruebas diagnósticas. Se incluyeron pacientes mayores de 18 años con diagnósticos de diabetes mellitus en terapia con bomba de infusión continua de insulina integrada a sistema de monitoreo continuo de glucosa en tiempo real, con función de suspensión automática ante valores de hipoglicemia en seguimiento en la unidad de endocrinología del Hospital Universitario San Ignacio, entre marzo y diciembre de 2019. Se excluyeron las pacientes en embarazo, crisis hiperglucémicas, infección del sitio de infusión, enfermedad coronaria activa (angina inestable o síndrome coronario agudo) en los últimos tres meses, antecedente de arritmias cardíaca, epilepsia, falla autonómica o enfermedad renal crónica en estadios 4 y 5. No se realizaron intervenciones adicionales a la terapia que el paciente recibía dentro de su atención médica usual. Al ingreso al estudio se solicitó consentimiento informado a todos los participantes. El protocolo del estudio fue aprobado por el comité de ética institucional.

Procedimientos

Los sujetos fueron valorados en ayunas y posteriormente se les daba un refrigerio. Se tomaron muestras, buscando obtener mediciones en diferentes rangos: ≥100 mg/dL y <100 mg/ dL, con base en la medición de glucosa capilar de acuerdo con la norma ISO 15197:2013. Se evaluaron cinco glucómetros (GluNeo (OSANG Healthcare, Corea del Sur), Select Plus (LifeScan Inc., Milpitas, CA), GlucoQuick (TaiDoc Technology Corp, Taiwan), Optium Neo (Abbott Diabetes Care Inc., Alameda, CA) y Gluco Quick Diamond Voice (TaiDoc Technology Corp, Taiwan)). En todos los dispositivos utilizados se realizó la calibración de acuerdo con la recomendación de los fabricantes. De una misma punción con lanceta se obtenía la muestra a procesar por los cinco glucómetros y de forma concurrente se recolectó sangre venosa para medición de glucemia central. La extracción de sangre venosa se realizó mediante punción de vena basílica. Las muestras se recogieron en tubos secos, fueron centrifugadas inmediatamente, y un minuto después centrifugación, en la fracción de plasma se analizó el nivel de glucosa por colorimetría. Para lograr que los pacientes llegaran a valores de glucemia menores a 100 mg/dL se administraron bolos de insulina rápida utilizando la función de bolus wizard, bajo vigilancia estrecha por medio de monitoreo continuo de glucosa y equipo médico. En caso de presentarse hipoglicemia sintomática posterior a la toma de las muestras, se realizó corrección con carga de 15 g de glucosa por vía oral hasta lograr valores de glucosa capilar mayores de 70 mg/dL y ausencia de síntomas clínicos compatibles con hipoglucemia.

Análisis estadístico

Se utilizó estadística descriptiva para presentar las características en la población. Para las variables continuas se reporta media y desviación estándar si los datos se distribuían normalmente; o mediana y rango intercuartílico si no se cumplía dicho supuesto. Las variables categóricas se presentan como números absolutos y porcentajes.

Se calculó la MARD, que corresponde a la media de las diferencias aritméticas del valor de glucosa capilar y glucosa sérica, para los niveles de glucosa ≥100 mg/dL y <100 mg/dL. Se consideró la MARD adecuado si el valor es inferior a 15 % (10). La determinación de la precisión clínica se realizó por medio de la gradilla de error de Clarke y Parkes (Consensus) (13,14). Dada la relevancia en la práctica clínica de conocer la precisión de los dispositivos en valores de hipoglucemia (<70 mg/ dL), el cual, no está incluido dentro de los criterios ISO, se realizó un análisis exploratorio de las mediciones obtenidas en este rango.

La medición reportada por cada uno de los dispositivos de glucosa capilar se contrastó con los valores de glicemia central, graficándolos en zona A, B C, D y E de la gradilla. Los valores se clasificaron según las regiones de la gráfica así: A: valores de glucosa capilar dentro del 20 % del rango de glucosa sérica; B: valores de glucosa capilar fuera del 20 % del rango de glucosa sérica, pero que no conllevan a tratamiento inapropiado; C: valores de glucosa capilar que llevan a tratamiento innecesario; D: valores de glucosa capilar que indican una falla potencialmente peligrosa para detectar hipoglucemia o hiperglucemia; E: valores de glucosa capilar que llevarían a tratamiento médico incorrecto. Para establecer una adecuada precisión clínica, las mediciones deben estar en las zonas A+B, requiriendo un mínimo del 95 % para la gradilla de Clarke y al menos un 99 % para la gradilla de Parkes (Consensus).

Resultados

Fueron incluidos en el análisis 61 pacientes. El 59.1 % eran mujeres, la mediana de edad era de 47 años, con rango de edad entre 18 y 79 años. En promedio la HbA1c fue de 8.04 % ±1.44 y el 91.8 % eran diabéticos tipo 1. El glucómetro usado más frecuentemente fue el Select Plus (42.6 %), seguido de GlucoQuick (24.6 %). Las características demográficas se presentan en la Tabla 1.

Tabla 1: Características generales de los pacientes (n= 61)

Fuente: base de datos del estudio.

RIC: rango intercuartílico; DE: desviación estándar;

LADA: Latent autoimmune diabetes of adults; IMC: índice de masa corporal.

Precisión numérica

Se analizaron en total 520 glucometrías, 90 en rango ≥100 mg/dL y 430 en rango <100 mg/ dL (157 de ellas ≤70 mg/dL). La MARD fue menor a 15 % para lecturas de glucosa ≥100 mg/dL para todos los glucómetros, tuvo valores entre 8.9 % y 24.9 % para las glucometrías >70 y ≤100 mg/dl, y fue mayor a 15 % en el rango de glucosa ≤70 mg/dL para todos los glucómetros. Sin embargo, solo el 18.9 % de las mediciones realizadas se encontraban en este rango. Para cada uno de los cinco dispositivos de medición de glucosa capilar estudiados en los diferentes rangos de glucosa, el valor de la MARD se presenta en la Tabla 2.

Tabla 2: MARD (%) de los cinco glucómetros disponibles en el plan básico salud de Colombia

Fuente: base de datos del estudio).

*MARD: por sus siglas en inglés de Mean Absolute Relative Difference.

Todos los glucómetros estudiados cumplieron con los requisitos solicitados al realizar mediciones de glucosa capilar mayores de 100 mg/dL. El porcentaje de mediciones que cumplieron con los estándares de calidad ISO 15197:2013 se reporta en la Tabla 3. Las mediciones en rango <70 mg/dL tuvieron en general una menor tasa de cumplimiento (<45 %).

Tabla 3: Porcentaje de mediciones que cumplieron con los estándares de calidad ISO 15197:2013

Fuente: base de datos del estudio.

Precisión clínica

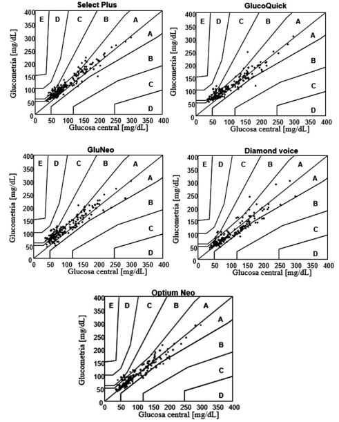
El comportamiento comparativo de la glucometría capilar y la glucosa central de acuerdo con la gradilla de error de Clarke se ilustra en la figura 1. La precisión clínica al evaluar el porcentaje combinado de la zona A y B de la gradilla de error de Clarke (clínicamente aceptables) fue variable entre 95.8 % a 78.2 % para los cinco dispositivos. Ninguno de los glucómetros presentó mediciones con localización en zona E. La figura 2 muestra el comportamiento comparativo de la glucometría capilar y la glucosa central de acuerdo con la gradilla de error de Parkes. Al combinar el porcentaje de mediciones en las zonas A y B de la gradilla de Parkes (Consensus) se encontró que la precisión clínica fue mayor del 95 % para todos los dispositivos estudiados.

Comportamiento comparativo glucémico capilar y glucosa central por gradilla de error de Clarke (GEC). El porcentaje combinado de las zonas A y B (clínicamente aceptables) fue 95.8 % con el glucómetro Diamond Voice, 95 % con Optium Neo, 85.4 % con GlucoQuick vital, 82.4 % con Select Plus y 78.2 % con GluNeo.

Figura 1: Comportamiento comparativo glucémico capilar y glucosa central por gradilla de error de Clarke (GEC). El porcentaje combinado de las zonas A y B (clínicamente aceptables) fue 95.8 % con el glucómetro Diamond Voice, 95 % con Optium Neo, 85.4 % con GlucoQuick vital, 82.4 % con Select Plus y 78.2 % con GluNeo.

Fuente: base de datos del estudio.

Comportamiento comparativo glucémico capilar y glucosa central por gradilla de error de Parkes (Consensus - CoEG). Al evaluar la precisión clínica del porcentaje combinado de las zonas A y B se encuentra una precisión de 90.3 % con GluNeo, 95.1% con GlucoQuick Vital, 95.8 % con Select Plus, 98.1 % con Optium Neo y 98.8 % con Diamond Voice.

Figura 2: Comportamiento comparativo glucémico capilar y glucosa central por gradilla de error de Parkes (Consensus - CoEG). Al evaluar la precisión clínica del porcentaje combinado de las zonas A y B se encuentra una precisión de 90.3 % con GluNeo, 95.1% con GlucoQuick Vital, 95.8 % con Select Plus, 98.1 % con Optium Neo y 98.8 % con Diamond Voice.

Fuente: base de datos del estudio.

Seguridad

Durante el estudio, ningún paciente presentó hipoglicemia severa, de las 157 glucometrías menores de 70 mg/dL se evidenciaron 32 mediciones (14.6 %) en rango de hipoglucemia nivel II (<54 mg/dL), con síntomas mínimos, todos recuperados con carga de glucosa, sin eventos de seguridad clínica asociados.

Discusión

La monitorización con glucometría capilar ha sido la principal opción para la evaluación del control glucémico del paciente diabético tratado con insulina (15). Permite la vigilancia de los niveles de glucosa de forma ambulatoria y sencilla (8)y está disponible en el plan básico de salud. Sin embargo, para lograr un impacto clínico se requiere de dispositivos con precisión clínica y numérica adecuada que permitan realizar cambios en la terapia de forma segura. La precisión de estos dispositivos puede verse influenciada por múltiples factores que puede dar lugar a la introducción de variaciones e incluso lecturas inexactas (16). Por lo cual se han generado normas como la ISO 15197: 2013, que especifica los requisitos para los sistemas de monitoreo que miden las concentraciones de glucosa en muestras de sangre capilar e incluso se ha sugerido una revisión de los datos clínicos como estrategia para la vigilancia postcomercialización (16).

Al evaluar la precisión numérica todos los dispositivos cumplen criterios de precisión numérica dada por la MARD para mediciones de glucosa ≥100 mg/dL. En el rango entre 70 mg/dL y 100 mg/dL los dispositivos Optium Neo y Gluco Quick Diamond Voice mostraron una MARD adecuada, siendo estos mismos los que alcanzaron estándares de cumplimiento aceptables al combinar todos los niveles de medición (12.1 % y 13.9 %, respectivamente). Al realizar el análisis diferencial de la MARD se evidencia mayor variabilidad de los resultados en el rango de mediciones ≤70 mg/dL, lo cual concuerda con hallazgos en estudios previos (17,18).

Dos factores se han reportado como causal de la diferencia encontrada en la MARD en el rango de hipoglucemia: en primer lugar, las muestras capilares y venosas difieren en gran medida en estos valore; en segundo lugar, la MARD es una medida relativa, lo que implica que una cierta diferencia absoluta en la precisión o las variables que afectan la precisión, tendrán un mayor impacto en este rango glucémico (19). Adicionalmente, el bajo número de mediciones obtenidas en este estudio limita su análisis, por lo cual se necesitan estudios que evalúen mejor la precisión en rangos de hipoglicemia.

Similares hallazgos, con respecto a la precisión numérica de los dispositivos de glucometría capilar han sido publicados en literatura internacional (18,20). Diversos factores se han propuesto para explicar estos hallazgos, tales como la calibración del equipo, variabilidad diaria en el error de medición de los dispositivos, temperatura ambiental, humedad, factores fisiológicos del paciente (hematocrito, valor de lípidos y oxigenación), además medicamentos como acetaminofén o ácido ascórbico (18). Klonoff y Brunner (20,21) concluyeron que la diferencia en precisión de los dispositivos se relaciona con las interacciones entre variables fisiológicas y medioambientales de cada paciente, así como la técnica de toma de glucometría, calibración y tiras de glucometría utilizadas. El impacto de dichos factores en este estudio parece bajo, si se considera que las intervenciones se realizaron en un entorno similar para todos los pacientes y que previo al uso de cada dispositivo se realizó calibración, según las indicaciones de cada producto.

Existen varios estándares para la precisión de los monitores de glucosa en sangre, pero los dos más utilizados son los de la ISO 15197: 2013 y la Agencia de Administración de Medicamentos y Alimentos del Gobierno de los Estados Unidos (FDA). En Europa, los monitores comercializados actualmente deben cumplir con las normas ISO vigentes y en los Estados Unidos; los monitores comercializados actualmente deben cumplir con el estándar bajo el cual fueron aprobados, que puede no ser el estándar actual. Adicionalmente, la norma ISO 15197:2013 fue la adoptada en 2016 por el Instituto Colombiano de Normas Técnicas y Certificación (Icontec) para evaluar la confiabilidad de las mediciones realizadas con glucómetros.

En este estudio al valorar la precisión clínica y cumplimiento de criterios ISO 2013 fue variable para todos los glucómetros, sin embargo, la precisión global fue aceptable. McKloud describió un hallazgo similar, sugiriendo que los niveles de oxígeno pueden tener un efecto de interferencia en los resultados de la medición de la glucometría capilar favoreciendo las diferencias en la medición de los niveles de glucosa en muestras de sangre capilar y venosa. Adicionalmente, documentaron variaciones de acuerdo con la técnica de análisis por lo cual recomiendan utilizar el analizador YSI (Yellow Spring Instruments) 2300, el cual es ampliamente aceptado como método para mediciones de referencia y calibración de los dispositivos por la mayoría de los fabricantes (16), sin embargo, este equipo no se encuentra disponible en Colombia.

El presente es el primer estudio en Colombia que evalúa la precisión clínica y numérica de los dispositivos de medición de glucosa capilar más usados en el país en condiciones reflejan datos de la vida real. Realizando la medición simultanea de glucosa capilar y central, medida con una técnica estandarizada para todos los pacientes y se utilizó dos métodos para evaluar la precisión clínica. Adicionalmente, se realizó un análisis exploratorio del rendimiento de los dispositivos en rangos de hipoglucemia. Son limitaciones de este estudio el tamaño de la muestra en cuanto al número de mediciones para cada glucómetro de forma individual, especialmente en rango de hipoglucemia, se necesitarán por tanto nuevos estudios que evalúen un mayor número de mediciones en ese rango. Son limitaciones de este estudio el tamaño de la muestra, el bajo porcentaje de mediciones en rango de hipoglucemia y la ausencia de datos con respecto a niveles de oxígeno o hematocrito en la muestra de sangre venosa. Adicionalmente, factores medioambientales como la temperatura, la humedad y el uso de medicamentos no fue controlado, sin embargo, estas condiciones contemplan la vida real de los pacientes.

Conclusión

La precisión numérica por la MARD para valores de glucometrías mayores o iguales de 100 mg/dL fue adecuada para los dispositivos evaluados, aunque esta precisión se disminuye ante valores de glucosa capilar menores de 100 mg/dL. Los dispositivos Gluco Quick Diamond Voice y Optium Neo tuvieron una adecuada precisión clínica y numérica, siendo las mediciones ≤70 mg/dL las que explican la menor proporción de cumplimiento para los demás glucómetros. Se necesitan estudios adicionales que evalúen mejor la precisión en rangos de hipoglicemia.

Agradecimientos

Estudio financiado por la Asociación Colombiana de Endocrinología, Diabetes y Metabolismo (ACE). Agradecemos a la Dra. Cristina Estrada, médica internista, por su colaboración en el diseño y escritura del protocolo para realizar este estudio; también a Marisol Vergara, educadora en diabetes, por su ayuda en la recolección de las muestras.

Conflictos de interés

A. M. Gómez reporta honorarios como conferencista para Sanofi, Novo Nordisk, Elli Lilly, Boehringer Ingelheim, Abbott y Medtronic; D. C. Henao reporta honorarios como conferencista para Sanofi, Novo Nordisk, Medtronic y Abbott. No se reportan otros potenciales conflictos de interés.