https://doi.org/https://doi.org/10.53853/encr.11.3.876

Recibido: 25 de enero de 2024; Aceptado: 1 de agosto de 2024

La relación Ca/P ayuda a identificar a los pacientes con hiperparatiroidismo primario que tendrán resultados positivos en la gammagrafía con 99mTc-Sestamibi


The Ca/P ratio helps to identify the patients with primary hyperparathyroidism who will have positive results in the scintigraphy with 99mtc-sestamibi

E. Díaz Rodríguez, 1* H. Varela Ramírez, 12 M. Montilla Velásquez, 3 K. Ortega-Anaya, 1

Programa de Medicina Nuclear, Fundación Universitaria Sanitas, Bogotá, Colombia Programa de Medicina Nuclear Fundación Universitaria Sanitas Bogotá Colombia
Grupo Keralty, Bogotá, Colombia Grupo Keralty Bogotá Colombia
Unidad de Investigación, Fundación Universitaria Sanitas, Bogotá, Colombia Unidad de Investigación Fundación Universitaria Sanitas Bogotá Colombia

Correspondencia: luzangelacasas@hotmail.com

Resumen

Contexto:

la relación calcio/fósforo (Ca/P) en pacientes con hiperparatiroidismo primario ha demostrado ser un marcador importante y con buen rendimiento para el diagnóstico de esta patología, mientras que la gammagrafía de paratiroides con Tc 99m-MIBI (2-metoxiisobutilisonitrilo) es uno de los métodos más ampliamente difundidos para la localización del tejido paratiroideo hiperfuncionante, que es el causante de esta enfermedad; sin embargo, aún no se han realizado estudios que evalúen el valor que la relación (Ca/P) puede tener al momento de tomar la decisión de enviar un paciente a la gammagrafía de paratiroides.

Objetivo:

identificar el mejor punto de corte de la relación Ca/P sérico para realizar una gammagrafía de paratiroides con Tc 99m-MIBI en pacientes con hiperparatiroidismo primario.

Metodología:

este es un estudio observacional de corte transversal, en el que se analizaron los resultados de la relación Ca/P y de la gammagrafía de paratiroides con Tc 99m-MIBI, de los pacientes que acudieron a dos servicios de medicina nuclear de referencia en la ciudad de Bogotá, durante el periodo comprendido entre los años 2017 y 2022.

Resultados:

se analizaron 263 pacientes, de los cuales 240 (91%) fueron mujeres, 150 resultaron negativos en la gammagrafía de paratiroides con Tc 99m-MIBI y 113 positivos. La relación Ca/P cuando el resultado de la gammagrafía era negativo fue de 3,21 ± 0,90 y de 4,03 ± 0,84 cuando fue positivo; el análisis ROC mostró que 3,4 fue el mejor punto de corte, con una especificidad del 74 % y una sensibilidad del 77 %. El 96 % de los pacientes con una relación menor a 2,68 tuvo un resultado negativo.

Conclusiones:

los pacientes con hiperparatiroidismo primario que tenían una relación de Ca/P mayor a 3,4 tuvieron una probabilidad de tener una gammagrafía de paratiroides positiva en el 77 % de los casos y una posibilidad de falsos positivos del 26 %. El 96 % de los pacientes con una relación menor a 2,68 tuvieron una gammagrafía negativa.

Palabras clave:

hiperparatiroidismo primario, gammagrafía, 99mTc-Sestamibi, glándulas paratiroides, adenoma, calcio, fósforo..

Abstract:

Background:

The calcium/phosphorus ratio in patients with primary hyperparathyroidism had shown to be an important marker, with good performance for the diagnostic of this pathology, whilst the parathyroid scintigraphy with Tc99m-MIBI is one of the most widely used methods for the localization of the hyperfunctioning parathyroid tissue that is causing it. However, there are not studies that evaluate the value of the calcium/phosphorus ratio in the decisions-making of sending a patient to the performing of a scintigraphy.

Purpose:

To identify the best cut-off point of the serum calcium/phosphorus ratio for the performance of a Tc99m-MIBI parathyroid scintigraphy in patients with primary hyperparathyroidism.

Methodology:

Observational cross-sectional study. The results of the calcium/phosphorus ratio and Tc99m-MIBI parathyroid scintigraphy were analyzed in patients from the nuclear medicine department in two centers in Bogotá, Colombia during 2017 - 2022.

Results:

263 patients were analyzed of whom 240 (91%) were women. 150 had negative results in the parathyroid scintigraphy and 113 had positive results. The calcium/phosphorus ratio in the patients with negative scintigraphy was 3.21 ± 0.90 and 4.03 ± 0.84 in the positive group. The ROC analysis showed that 3.4 was the best cut-off point with a specificity of 74% and a sensitivity of 77%. The 96% of patients with a ratio under 2.68 had negative results.

Conclusions:

The patients with primary hyperparathyroidism and a calcium/phosphorus ratio greater than 3.4 had a probability of a positive scintigraphy in 77% of the cases and a 26% false-positive’s possibility. The 96% of the patients in which the ratio was less than 2.68 had a negative scintigraphy.

Keywords:

Primary hyperparathyroidism, Scintigraphy, 99mTc-Sestamibi, Parathyroid Glands, Calcium, Phosphorus..

Introducción

El hiperparatiroidismo primario es la tercera enfermedad endocrina más común después del hipotiroidismo y del hipertiroidismo, presentándose en una relación 3:1 entre mujeres y hombres (1). En Estados Unidos, esta enfermedad ha mostrado una prevalencia de 23 casos/10 000 mujeres y 8,5 casos/10 000 hombres, con una incidencia de 66 casos/100000 personas al año en mujeres y 25/100000 persona al año en hombres (2).

La causa principal es un adenoma paratiroideo solitario en el 85 % de los casos, seguido de hiperplasia y luego del carcinoma paratiroideo (2). También se han descrito adenomas o hiperplasias múltiples que varían entre el 7 % y el 33 % (3).

El diagnóstico del hiperparatiroidismo primario se hace a través de los niveles séricos de calcio y de paratohormona (PTH) intacta, pero requiere del análisis de los niveles de otras sustancias, como los niveles de vitamina D, fósforo y la medición de la función renal para hacer un análisis completo y descartar otras patologías que puedan ser el origen de la hipercalcemia en estos pacientes, siendo este hallazgo responsable de los síntomas con los que cursan los pacientes que padecen esta patología (4-5).

Recientemente, en el “Tercer Taller Interna- cional sobre el Manejo del Hiperparatiroidismo Primario Asintomático” del año 2008 se mencionó por primera vez el fenotipo de hiperparatiroidismo primario normocalcémico, dándose pautas para el diagnóstico en el cuarto taller, realizado en el año 2013, destacando la exclusión de un hiperparatiroidismo secundario y la presencia de una concentración elevada de PTH en múltiples ocasiones, con al menos tres meses de diferencia con un calcio sérico constantemente normal (6).

Una vez se ha realizado el diagnóstico, el tratamiento principal es la localización y la extirpación quirúrgica del tejido paratiroideo hiperfuncionante, siendo la paratiroidectomía mínimamente invasiva el método de elección, ya que disminuye los tiempos y los costos quirúrgicos y el tiempo de recuperación posoperatoria (7-8).

La cirugía también es una opción en el caso del hiperparatirodismo primario normocalcémico si los pacientes presentan una progresión de la enfermedad dada por el empeoramiento de la densitometría ósea o la presencia de nuevos síntomas como fracturas o cálculos renales, tal como si fueran pacientes hipercalcémicos (6).

Para la localización de dicho tejido paratiroideo hiperfuncionante previo a la cirugía, la gammagrafía de paratiroides con Tc 99m-MIBI es uno de los métodos más ampliamente difundidos y utilizados. Este radiofármaco es captado por las mitocondrias de las células oxifílicas, las cuales están presentes en grandes cantidades en los adenomas paratiroideos y en menor cantidad en las hiperplasias (9).

Esta técnica de imagen tiene alto rendimiento diagnóstico para la localización del tejido paratiroideo hiperfuncionante, alcanzando una sensibilidad del 90 % y una especificidad 89 %, pero estos valores disminuyen cuando la masa de la lesión es menor a 600 mg, hay presencia de focos de hiperplasia múltiples o por enfermedad tiroidea (3, 10-11). En diferentes estudios se ha documentado una muy buena correlación entre algunos marcadores séricos como el calcio, la PTH y el fósforo, y los resultados positivos en la gammagrafía de paratiroides con Tc 99m-MIBI en pacientes con hiperparatiroidismo primario (12-14).

La relación Ca/P es un marcador que ha ganado importancia en el estudio del hiperparatiroidismo primario, dado que la elevación de la PTH degrada la acción de los trasportadores de fosfato en el túbulo proximal (sitio donde se reabsorbe el 70 % del fosfato inorgánico), ocasionando hipofosfatemia (15). No se ha estudiado cuál podría ser el aporte de la relación Ca/P en la evaluación de pacientes con hiperparatiroidismo primario y en quienes se indica la gammagrafía de paratiroides para localizar la glándula enferma. Por lo anterior, el objetivo del presente estudio es identificar el mejor punto de corte de la relación Ca/P antes de realizar una gammagrafía de paratiroides.

Materiales y métodos

Se realizó un estudio observacional de corte transversal, en el que se analizaron pacientes con diagnóstico clínico y paraclínico de hiperparatiroidismo primario, atendidos en los servicios de medicina nuclear de la Clínica Universitaria Colombia y Medicina Nuclear Palermo de Bogotá, Colombia, a quienes se les realizó gammagrafía de paratiroides con Tc 99m-MIBI durante el periodo entre el 1 de enero de 2017 al 31 de julio de 2022. Los criterios de inclusión fueron: pacientes mayores de 18 años con laboratorios (PTH, calcio total, fósforo y creatinina) realizados al momento del diagnóstico y previos al comienzo del tratamiento farmacológico; mientras que los criterios de exclusión fueron: pacientes con un TFG menor de 60 ml/min, laboratorios incompletos o que estuvieran consumiendo medicamentos que alteraran la función paratiroidea al momento de los exámenes.

Población y muestra: el tamaño de la muestra se calculó teniendo en cuenta un área bajo la curva mínima de 0,6, una potencia de 0,6, con requerimiento mínimo de 194 pacientes en relación 1:1 (resultados positivos: resultados negativos de la gammagrafía con Tc 99m-MIBI). En el análisis se incluyó a todos los pacientes que cumplían los criterios de inclusión, alcanzando un total de 263 pacientes (113 resultados positivos y 150 resultados negativos), donde 42 de estos 263 pacientes contaban también con resultado de patología posterior al procedimiento quirúrgico, para su análisis.

Análisis estadístico: se realizó el análisis descriptivo de las variables cualitativas a través del cálculo de frecuencias absolutas y relativas. En el caso de las variables cuantitativas se realizó el cálculo mediante medidas de tendencia central y dispersión, según su distribución. El análisis de la información se realizó mediante el uso de curvas ROC.

Finalmente, se realizaron gráficos de dispersión de la correlación de los niveles de calcio, fósforo y PTH con la relación Ca/P mayor de 3,4 y resultado de gammagrafía; también, se calculó el coeficiente de correlación de Spearman.

Resultados

Un total de 263 pacientes cumplieron con los criterios de inclusión y fueron insertados dentro del análisis. La media de edad fue de 63,17 años (DE 13,80); donde 240 (91,12 %) pacientes fueron de sexo femenino y 23 (8,70 %) de sexo masculino.

Otros datos importantes fueron: la edad promedio fue de 64,09 años (DE 13,52), 113 pacientes (42,9 %) tuvieron un resultado positivo en la gammagrafía con Tc 99m-MIBI y 42 pacientes (16,0 %) tuvieron diagnóstico por patología. Por otro lado, 150 pacientes (57,1 %) obtuvieron un resultado negativo dentro del análisis, con una media de edad de 62,48 años (DE 14,01). En ambos grupos, las mujeres representaron más del 90 % de la población de estudio y los niveles medios de creatinina y TFG fueron similares (tabla 1).

Tabla 1: Características demográficas, clínicas y paraclínicas de los pacientes estudiados

Nota: NA: no aplica, DE: desviación estándar, TFG: tasa de filtración glomerular, RIC: rango intercuartílico.

Fuente: elaboración propia.

La media de la relación Ca/P, en el caso del resultado de la gammagrafía negativa, fue de 3,21 ± 0,90 y de 4,03 ± 0,84 en el caso de resultado de la gammagrafía positiva. Las diferencias fueron estadísticamente significativas (figura 1).

Relación calcio/fósforo según los resultados de la gammagrafía

Figura 1: Relación calcio/fósforo según los resultados de la gammagrafía

Fuente: elaboración propia

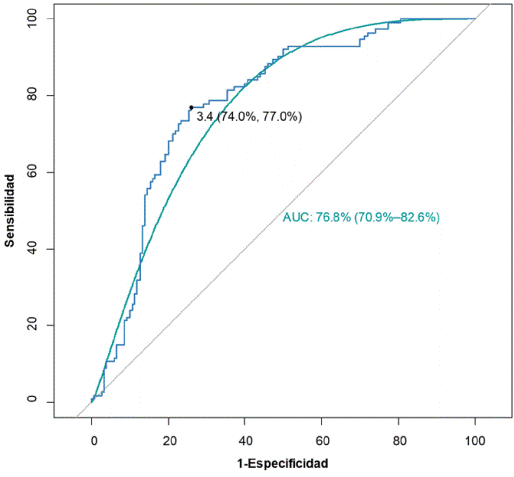
El mejor punto de corte fue de 3,4, con una especificidad del 74 % y una sensibilidad del 77 %. Este punto permitió discriminar correctamente a los pacientes con hiperparatiroidismo en el 76,8 % (IC 95 % 71,0-82,7 %) de los casos. Los niveles menores de 2,68 condujeron a definir que la gammagrafía será negativa en el 96 % de los casos. Los niveles por encima de 5,0 permiten definir que la gammagrafía será positiva en el 96 % de los casos (figura 2).

Curva ROC para la relación calcio/fósforo y el resultado de la gammagrafía

Figura 2: Curva ROC para la relación calcio/fósforo y el resultado de la gammagrafía

Fuente: elaboración propia

En cuanto a los resultados de patología, 41 de los 42 pacientes tuvieron un resultado positivo y 1 tuvo un resultado negativo para patología paratiroidea. El adenoma fue el principal hallazgo histopatológico (37 de 41 pacientes, 90 %), siendo la localización única la más frecuente (40/41 pacientes, 98 %), adicionalmente se encontró que el 16 % de los adenomas y el 50 % de las hiperplasias eran de pacientes con normocalcemia (tabla 2).

Tabla 2: Características de los niveles de PTH, calcio y fósforo según la patología

Nota: a media (desviación estándar), b mediana (p25, p75) o c frecuencia (%), PTH: hormona paratiroidea, RCF: relación calcio/fósforo.

Fuente: elaboración propia.

La relación Ca/P en el único caso de patología negativa fue de 3,04 y en los casos de patología positiva la media fue de 4,15 ± 0,75 (figura 3).

Relación Ca/P según el resultado de la patología

Figura 3: Relación Ca/P según el resultado de la patología

Fuente: elaboración propia

En la figura 4 se observa que el valor de Ca/P de mayores de 3,4 se correlaciona con los niveles de calcio de manera positiva (R = 0,52), fósforo de manera negativa (R = -0,85) y PTH de manera positiva (0,5), siendo estadísticamente significativos. Adicionalmente, se encuentra correlación positiva de la relación Ca/P discriminada para gammagrafía positiva para calcio (R = 0,61), negativa para fósforo (-0,91) y positiva para PTH (R = 0,49), estadísticamente significativa.

Correlación de los niveles de calcio, fósforo y PTH con la relación Ca/P mayor de 3,4 y resultado de gammagrafía

Figura 4: Correlación de los niveles de calcio, fósforo y PTH con la relación Ca/P mayor de 3,4 y resultado de gammagrafía

Fuente: elaboración propia

Discusión

En Colombia se diagnosticó y operó el primer caso de hiperparatiroidismo primario en 1956 y en el mundo los primeros casos datan de 1925, donde se descubrió que esta enfermedad se manifestaba debido a la presencia del tejido paratiroideo hiperfuncionante, conclusión a la que inicialmente se llegó más por mecanismos fisiológicos que anatómicos (16). Desde entonces, la prevalencia y la incidencia de la enfermedad ha aumentado por la disponibilidad de las pruebas diagnósticas, principalmente niveles séricos de calcio y PTH, realizando incluso diagnósticos en pacientes no sintomáticos (5). Asimismo, se sabe que hay mayor prevalencia de esta patología en mujeres en la edad adulta, lo que concuerda con la población encontrada en este estudio, con un 91,12 % de mujeres y una edad media de 63,17 años (17).

Algunos estudios han mostrado la relación entre los niveles séricos de calcio o PTH con la positividad en la gammagrafía con Tc 99m-MIBI. Dentro de ellos, Duarte et al. estudiaron a 194 pacientes con sospecha de hiperparatiroidismo y encontraron que el 100 % de los pacientes con un calcio sérico mayor a 11 mg/dl presentaban hallazgos positivos en la gammagrafía de paratiroides con Tc 99m-MIBI y aquellos con niveles de calcio entre 9,9 mg/dl y 11 mg/dl requerían de niveles mayores a 120 pg/ml de PTH para un resultado positivo (18). Por su parte, Mshelia et al. encontraron que el 82 % de los pacientes con un calcio sérico > 10,82 mg/dl tenía un estudio con 99mTc-MIBI positivo (12).

En el hiperparatiroidismo se ve alterada la relación Ca/P, debido a que la elevación de la PTH que estimula la conversión renal de 25-hidroxivitamina D en 1,25-dihidroxivitamina D, aumentando la absorción intestinal de calcio y fosfato, pero que degrada la acción de los trasportadores de fosfato en el túbulo proximal (sitio donde se reabsorbe el 70 % del fosfato inorgánico), ocasionando hipofosfastemia (15). Madeo et al. realizaron un estudio multicéntrico, en donde evaluaron la relación sérica de Ca/P y encontraron que una relación mayor a 3,11 (cuando el calcio total y fósforo se reporta en mg/dl) tiene una sensibilidad del 85,7 % y una especificidad del 85,3 % para diagnosticar hiperparatiroidismo primario, incluso con un rendimiento mayor que los niveles de calcio sérico y de PTH por separado (19).

De acuerdo con nuestra investigación, este es el primer estudio en el cual se evalúa la relación Ca/P séricos y los resultados de gammagrafía con Tc 99m-MIBI en pacientes con hiperparatiroidismo primario. A través del análisis de la curva ROC, se estableció el mejor punto de corte en 3,4, con una especificidad del 74 % y una sensibilidad del 77 %, incluso en pacientes con normocalcemia o normofosfatemia.

Adicionalmente, se determinó que los pacientes con resultados menores a 2,68 tienen una alta probabilidad (96 %) de tener un resultado negativo, por lo cual, si se ha descartado adecuadamente un hiperparatiroidismo secundario, el cuadro clínico sugiere la existencia de hiperparatiroidismo primario, incluyendo el fenotipo de hiperparatiroidismo primario normocalcémico y se requiere de una intervención quirúrgica con previa localización de la glándula paratiroides hiperfuncionante, por lo que se recomienda el uso de otros métodos diagnósticos, como la tomografía por emisión de positrones (PET/CT) con colina radiomarcada, examen que presenta un mayor rendimiento diagnóstico en estos casos (20-21).

La media de 4,03 ± 0,84 de la relación Ca/P encontrada en los pacientes con gammagrafía positiva es similar a la mostrada en el subgrupo de pacientes con disponibilidad de estudio histopatológico, en los cuales se evidenció una media de la relación Ca/P de 4,15 ± 0,75, para los pacientes cuyo resultado confirmó la presencia de adenoma o hiperplasia; sin embargo, el número de pacientes con resultados de patología fue muy bajo y a pesar de solo haber un único caso con histopatología negativa para adenoma, no fue suficiente para alcanzar significancia estadística. Se requieren más estudios que cuenten con un número mayor de pacientes con resultado de patologías para evaluar la relación Ca/P en los pacientes verdaderos positivos.

Adicional al número limitado de pacientes en el subgrupo de histopatologías positivas, otras de las limitaciones del estudio fueron: su naturaleza retrospectiva y que no se evaluó el tiempo transcurrido entre el diagnóstico del hiperparatiroidismo, la fecha de los laboratorios y la realización de la gammagrafía, por lo que no fue posible evaluar si estos tiempos influyeron de alguna manera en los resultados, limitación que podría resolverse en estudios prospectivos futuros.

Conclusión

Los pacientes que cursan con hiperparatiroidismo primario, con TFG por encima de 60 ml/min y una relación Ca/P (medidos en mg/dl) mayor a 3,4, tendrán un rendimiento diagnóstico adecuado para la localización de tejido paratiroideo hiperfuncionante en la gammagrafía de paratiroides con Tc 99m-MIBI, con una probabilidad de tener una gammagrafía positiva en el 77 % de los casos y una posibilidad de falsos positivos del 26 %, mientras que aquellos con una relación menor a 2,68 no se benefician de la realización de la gammagrafía, por la alta probabilidad de un resultado negativo.

Contribución de los autores

Edward Andrés Díaz Rodríguez: conceptualización, curaduría de datos, investigación, administración del proyecto, análisis formal, metodología, recursos, validación visualización, escritura (borrador original), escritura (revisión del borrador y revisión/corrección); Humberto Varela Ramírez: conceptualización, supervisión, validación, visualización, escritura (borrador original), escritura (revisión del borrador y revisión/ corrección); María del Pilar Montilla Velázquez: curaduría de datos, análisis formal, metodología, software, supervisión, validación, visualización, escritura (borrador original), escritura (revisión del borrador y revisión/corrección); Klissman Ortega-Anaya: curaduría de datos, investigación, análisis formal, visualización, escritura (borrador original), escritura (revisión del borrador y revisión/corrección).

Implicaciones éticas

El estudio tuvo en cuenta las normas internacionales y los principios éticos para la investigación con seres humanos (Informe Belmont y Declaración de Helsinki), así como los lineamientos de la Resolución 8430 de 1993 del Ministerio de Salud de Colombia para el desarrollo de actividades investigativas en salud. Además, esta investigación cuenta con la aprobación por el Comité de Ética en Investigación de la Fundación Universitaria Sanitas, registrada en el acta No. 026-23.

Declaración de fuentes de financiación

La presente investigación no requirió ni contó con ayudas económicas de terceros para su realización.

Conflicto de intereses

Los autores no presentaron conflictos de interés en relación con este trabajo.